NSS Home > NSS Activities Information > NSS Activities Conducted in the A.Y.: 2016 - 17
| Regular Activities | |||||
|---|---|---|---|---|---|
| S. No. | Activity Name | Date/s of the Activity | Attendees / Target Beneficiary |
Assets Created | Activity Report |
| Babu Jagjeevan Ram Jayanthi | 05-04-2016 | LBRCE Students | Total no.of Hours Worked: 100 | Click Here | |
| World Health Day | 07-04-2016 | LBRCE Staff,Faculty (150 Members Attanded) |
150* 350.00 Rs.52,500/- + Honorarium for Experts = Rs.30,000/- |
Click Here | |
| Dr.B.R.Ambedkar 125th Birth Annivarsary | 13-04-2016 | LBRCE Students | Total no.of Hours Worked: 200 Donated Prizes Cost: Rs. 1000/- |
Click Here | |
| World Earth Day | 22-04-2016 | LBRCE Students | Total no.of Hours Worked: 600 | Click Here | |
| Distribution of Opticals,Water Cans,Dustbins at adopted village | 29-04-2016 | Pondugala Village People,Panchayath Office,MPUP School | 6500/- | Click Here | |
| Nava Nirmana Dheeksha | 03-06-2016 to 06-06-2016 |
LBRCE Students and Staff | Total no.of Hours Worked: 200 | Click Here | |
| Awareness Program on Yoga,Meditation | 15-06-2016 | LBRCE Staff | Total Number of work done: 300 Honorarium for Yoga Experts = Rs. 4,000/- |
Click Here | |
| International Yoga Diwas | 21-06-2016 | LBRCE Students and Staff | Rs. 8,000/- Total no.of Hours Worked: 700 |
Click Here | |
| Dr.K.L.Rao Birthday Celebrations | 15-07-2016 | LBRCE Students | Total no.of Hours Worked: 150 Prizes Cost :Rs. 600/- |
Click Here | |
| Abdul Kalam Death Anniversay Program | 27-07-2016 | LBRCE Students | Total no.of Hours Worked: 250 Donated Prizes Cost: Rs. 500/- |
Click Here | |
| Vanam-Manam(Tree Plantation program) | 29-07-2016 | LBRCE Students and Staff | 150 * each plant 10.00 Rs.1500/- |
Click Here | |
| Independence-70/Quit India Moment-70 | 09-08-2017 | LBRCE Students | Total no.of Hours Worked: 250 Donated Prizes Cost: Rs. 600/- |
Click Here | |
| Independence Day Celebrations | 14-08-2016 15-08-2016 |
LBRCE Students and Staff | Total no.of Hours Worked: 300 | Click Here | |
| Krishna Pushkaralu | 12-08-2016 To 23-08-2016 |
LBRCE Students | 26 members * 400 each day Total Amount =Rs. 1,14,400/- |
Click Here | |
| Teachers Day | 05-09-2016 | LBRCE Staff | ---- | Click Here | |
| Blood Checking Program | 09-09-2016 | LBRCE Students | 960 Students * 30.00 per each =Rs. 28,800 | Click Here | |
| Swatch Pakwada Week Program | 09-09-2016 to 16-09-2016 |
LBRCE Students and Staff | Total no.of Hours Worked: 400 | Click Here | |
| NSS Foundation Day | 24-09-2016 | LBRCE Students | Total no.of Hours Worked: 130 Donated Prizes Cost: Rs. 600/- |
Click Here | |
| Jana Vignana Vedika Elocution Event | 28-09-2016 | LBRCE Students | Total no.of Hours Worked: 100 | Click Here | |
| Go Green | 01-10-2016 | Outside College Students, LBRCE Students and Staff |
2000 * each plant 10.00 Rs.20,000/- |
Click Here | |
| World Students Day | 15-10-2016 | LBRCE Students | Total no.of Hours Worked: 200 Donated Prizes Cost: Rs. 1000/ |
Click Here | |
| Two day Seminar on ” Importance of Life Skills” |
02-11-2016 to 03-11-2016 |
LBRCE Students | Total no.of Hours Worked: 500 Honorarium for Expert = Rs.10,000/- |
Click Here | |
| Vigilance Awareness Week and National Unity Day Week Celebrations | 31-10-2016 To 05-11-2016 |
LBRCE Students | Total no.of Hours Worked: 600 | Click Here | |
| Children’s Day | 10-11-2016 to 14-11-2016 |
APSWR School,Girls High School Mylavaram,LHR ZP School Childrens | Total no.of Hours Worked: 200 Donated Prizes Cost: Rs. 1000/- |
Click Here | |
| Distribution of Lunch Boxes, Stationary | 17-11-2016 | MPUP School Children ,Pondugala | Rs. 4,200/- | Click Here | |
| Constitution of India Formation Day | 26-11-2016 | LBRCE Students | Total Number of work done: 300 | Click Here | |
| Fund Donation to LBRCE Employee (Desembilly family) | 09-12-2016 | DesamBilly Family | Rs, 20,000/- | Click Here | |
| Cardiac Camp | 10-12-2016 | LBRCE Faculty and Staff | 150 * 300 Each one =Rs. 45,000 | Click Here | |
| Seminar on “Basic Engineering Skills” by Dr.KVSG Murali Krishna | 16-12-2016 | LBRCE Students | Total no.of Hours Worked: 1200 Honorarium for Expert = Rs.15,000/- |
Click Here | |
| Seminar on “Common Neurological Issues” | 27-12-2016 | LBRCE Faculty ,Staff and Students | Total Number of work done: 300 Honorarium for Yoga Experts = Rs. 4,000/- |
Click Here | |
| Fund Collection to Armed Forces | 31-12-2016 | Armed Forces families | Rs, 50,000/- | Click Here | |
| Awareness program on” Passport Apply and Filling” | 06-01-2017 | LBRCE Students | Total no.of Hours Worked: 1200 Honorarium for Expert = Rs.6,000/- |
Click Here | |
| Awareness program on “PAN Card Issue and Usage “ | 11-01-2017 | LBRCE Faculty ,Staff and Students | Total no.of Hours Worked: 1200 Honorarium for Expert = Rs.2,000/- |
Click Here | |
| National Voters Day | 25-01-2017 | LBRCE Students | Total no.of Hours Worked: 150 | Click Here | |
| Republic Day Celebrations at JNTUK and LBRCE | 25-01-2017 26-01-2017 |
LBRCE Students | Total no.of Hours Worked: 300 | Click Here | |
| Pulse Polio Immunization-Phase1 | 29-01-2017 | Mylavaram Children | 11 Students * 250 =2750/- | Click Here | |
| Blood Donation Camp | 08-02-2017 | Red Cross Society,Vijayawada | 74 * 1000(Each Packet) =Rs.74,000 | Click Here | |
| Voluntary Service to Sivarathri Festival | 24-02-2017 25-02-2017 | Velvadam People | 12 members * 400 = Rs.4,800/- |
Click Here | |
| Awareness program on “ Thyroid Issues and Testing” | 22-03-2017 | LBRCE Staff,Faculty and Students | 150 Members * 300 per concession each = 45000 | Click Here | |
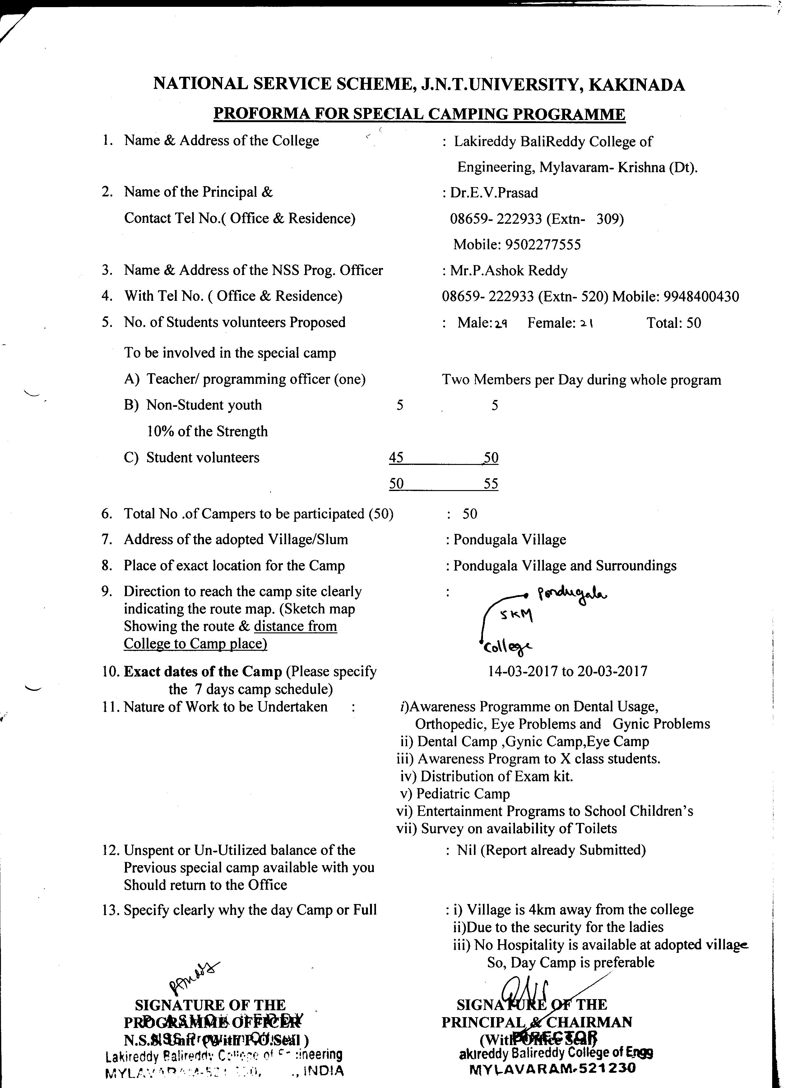
| Special Camp | ||
|---|---|---|
| Academic Year | Names | Details |
| 2016-17 | Pre Camp Survey | Click Here |
| Schedule | Click Here | |
| Students List | Click Here | |
| Activity Report | Click Here | |